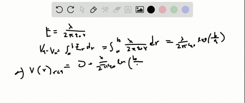
45+ pages a capacitor is made from two hollow coaxial 1.6mb solution in Google Sheet format . 249 A capacitor is made from two hollow coaxial iron cylinders one inside the other. There is air in the space between the cylinders. The inner cylinder is negatively charged and the outer is positively charged. Check also: hollow and a capacitor is made from two hollow coaxial The inner cylinder has a radius of 050 mm the outer one has a radius of 500 mm and the length of each cylinder is 180 cm.
The inner cylinder is negatively charged and the outer is positively charged. A capacitor is made from two hollow coaxial iron cylinders one inside the other.

Answered Part A And B Please A Capacitor Is Bartle
| Title: Answered Part A And B Please A Capacitor Is Bartle A Capacitor Is Made From Two Hollow Coaxial |
| Format: Doc |
| Number of Views: 6213+ times |
| Number of Pages: 294+ pages about A Capacitor Is Made From Two Hollow Coaxial |
| Publication Date: October 2020 |
| Document Size: 800kb |
| Read Answered Part A And B Please A Capacitor Is Bartle |
The magnitude of the charge on each is 120.

The magnitude of the charge on each is 155 pC. The inner cylinder is negatively charged and the outer is positively charged. The inner cylinder is negatively charged and the outer is positively charged. The magnitude of the charge on each is 100pC. The inner cylinder is negatively charged and the outer is positively charged. The magnitude of the charge on each is 155 pC.

Solved A Capacitor Is Made From Two Hollow Coaxial Copper Cylinders One Inside The Other There Is Air In The Space B
| Title: Solved A Capacitor Is Made From Two Hollow Coaxial Copper Cylinders One Inside The Other There Is Air In The Space B A Capacitor Is Made From Two Hollow Coaxial |
| Format: PDF |
| Number of Views: 7204+ times |
| Number of Pages: 45+ pages about A Capacitor Is Made From Two Hollow Coaxial |
| Publication Date: July 2019 |
| Document Size: 1.5mb |
| Read Solved A Capacitor Is Made From Two Hollow Coaxial Copper Cylinders One Inside The Other There Is Air In The Space B |
Alternative Exercise 24 89 A Capacitor Is Made From Chegg
| Title: Alternative Exercise 24 89 A Capacitor Is Made From Chegg A Capacitor Is Made From Two Hollow Coaxial |
| Format: PDF |
| Number of Views: 4159+ times |
| Number of Pages: 261+ pages about A Capacitor Is Made From Two Hollow Coaxial |
| Publication Date: November 2020 |
| Document Size: 800kb |
| Read Alternative Exercise 24 89 A Capacitor Is Made From Chegg |

Solved A Capacitor Is Made From Two Hollow Coaxial Copper Cylinders One Inside The Other There Is Air In The Space B
| Title: Solved A Capacitor Is Made From Two Hollow Coaxial Copper Cylinders One Inside The Other There Is Air In The Space B A Capacitor Is Made From Two Hollow Coaxial |
| Format: Google Sheet |
| Number of Views: 3400+ times |
| Number of Pages: 315+ pages about A Capacitor Is Made From Two Hollow Coaxial |
| Publication Date: October 2018 |
| Document Size: 810kb |
| Read Solved A Capacitor Is Made From Two Hollow Coaxial Copper Cylinders One Inside The Other There Is Air In The Space B |

Solved A Capacitor Is Made From Two Hollow Coaxial Copper Cylinders One Inside The Other There Is Air In The Space B
| Title: Solved A Capacitor Is Made From Two Hollow Coaxial Copper Cylinders One Inside The Other There Is Air In The Space B A Capacitor Is Made From Two Hollow Coaxial |
| Format: Doc |
| Number of Views: 4159+ times |
| Number of Pages: 280+ pages about A Capacitor Is Made From Two Hollow Coaxial |
| Publication Date: August 2017 |
| Document Size: 5mb |
| Read Solved A Capacitor Is Made From Two Hollow Coaxial Copper Cylinders One Inside The Other There Is Air In The Space B |

A Capacitor Is Made From Two Hollow Coaxial Iron Chegg
| Title: A Capacitor Is Made From Two Hollow Coaxial Iron Chegg A Capacitor Is Made From Two Hollow Coaxial |
| Format: Doc |
| Number of Views: 3230+ times |
| Number of Pages: 178+ pages about A Capacitor Is Made From Two Hollow Coaxial |
| Publication Date: July 2021 |
| Document Size: 2.8mb |
| Read A Capacitor Is Made From Two Hollow Coaxial Iron Chegg |

Solved A Capacitor Is Made From Two Hollow Coaxial Copper Cylinders One Inside The Other There Is Air In The Space B
| Title: Solved A Capacitor Is Made From Two Hollow Coaxial Copper Cylinders One Inside The Other There Is Air In The Space B A Capacitor Is Made From Two Hollow Coaxial |
| Format: Doc |
| Number of Views: 8135+ times |
| Number of Pages: 28+ pages about A Capacitor Is Made From Two Hollow Coaxial |
| Publication Date: August 2018 |
| Document Size: 2.3mb |
| Read Solved A Capacitor Is Made From Two Hollow Coaxial Copper Cylinders One Inside The Other There Is Air In The Space B |

Solved A Capacitor Is Made From Two Hollow Coaxial Copper Cylinders One Inside The Other There Is Air In The Space B
| Title: Solved A Capacitor Is Made From Two Hollow Coaxial Copper Cylinders One Inside The Other There Is Air In The Space B A Capacitor Is Made From Two Hollow Coaxial |
| Format: Doc |
| Number of Views: 3000+ times |
| Number of Pages: 91+ pages about A Capacitor Is Made From Two Hollow Coaxial |
| Publication Date: December 2020 |
| Document Size: 1.4mb |
| Read Solved A Capacitor Is Made From Two Hollow Coaxial Copper Cylinders One Inside The Other There Is Air In The Space B |

Solved A Capacitor Is Made From Two Hollow Coaxial Copper Cylinders One Inside The Other There Is Air In The Space B
| Title: Solved A Capacitor Is Made From Two Hollow Coaxial Copper Cylinders One Inside The Other There Is Air In The Space B A Capacitor Is Made From Two Hollow Coaxial |
| Format: PDF |
| Number of Views: 3200+ times |
| Number of Pages: 181+ pages about A Capacitor Is Made From Two Hollow Coaxial |
| Publication Date: April 2020 |
| Document Size: 2.1mb |
| Read Solved A Capacitor Is Made From Two Hollow Coaxial Copper Cylinders One Inside The Other There Is Air In The Space B |

A Capacitor Is Made From Two Hollow Coaxial Iron Chegg
| Title: A Capacitor Is Made From Two Hollow Coaxial Iron Chegg A Capacitor Is Made From Two Hollow Coaxial |
| Format: Doc |
| Number of Views: 8183+ times |
| Number of Pages: 141+ pages about A Capacitor Is Made From Two Hollow Coaxial |
| Publication Date: November 2021 |
| Document Size: 2.3mb |
| Read A Capacitor Is Made From Two Hollow Coaxial Iron Chegg |

Solved A Capacitor Is Made From Two Hollow Coaxial Copper Cylinders One Inside The Other There Is Air In The Space B
| Title: Solved A Capacitor Is Made From Two Hollow Coaxial Copper Cylinders One Inside The Other There Is Air In The Space B A Capacitor Is Made From Two Hollow Coaxial |
| Format: PDF |
| Number of Views: 9134+ times |
| Number of Pages: 237+ pages about A Capacitor Is Made From Two Hollow Coaxial |
| Publication Date: July 2017 |
| Document Size: 2.1mb |
| Read Solved A Capacitor Is Made From Two Hollow Coaxial Copper Cylinders One Inside The Other There Is Air In The Space B |

A Capacitor Is Made From Two Hollow Coaxial Copper Chegg
| Title: A Capacitor Is Made From Two Hollow Coaxial Copper Chegg A Capacitor Is Made From Two Hollow Coaxial |
| Format: PDF |
| Number of Views: 5171+ times |
| Number of Pages: 132+ pages about A Capacitor Is Made From Two Hollow Coaxial |
| Publication Date: December 2020 |
| Document Size: 1.4mb |
| Read A Capacitor Is Made From Two Hollow Coaxial Copper Chegg |
A capacitor is made from two hollow coaxial iron cylinders one inside the other. A capacitor is made from two hollow coaxial iron cylinders one inside the other. A capacitor is made from two hollow coaxial copper cylinders one inside the other.
Here is all you need to read about a capacitor is made from two hollow coaxial The inner cylinder has radius 260mm. The magnitude of the charge on each is 145pC. The inner cylinder is negatively charged and the outer is positively charged. Solved a capacitor is made from two hollow coaxial copper cylinders one inside the other there is air in the space b alternative exercise 24 89 a capacitor is made from chegg solved a capacitor is made from two hollow coaxial copper cylinders one inside the other there is air in the space b solved a capacitor is made from two hollow coaxial copper cylinders one inside the other there is air in the space b solved a capacitor is made from two hollow coaxial copper cylinders one inside the other there is air in the space b solved a capacitor is made from two hollow coaxial copper cylinders one inside the other there is air in the space b The magnitude of the charge on.


FOLLOW THE Maya Books Chapter AT TWITTER TO GET THE LATEST INFORMATION OR UPDATE
Follow Maya Books Chapter on Instagram to get the latest information or updates
Follow our Instagram